應用文章
產品推薦
應用文章
數字萬用表的基本知識
- 發布時間:2019-04-11 11:19:21
數字萬用表是一個多功能的儀表,它具有電壓表、電流表以及歐姆計的功能。它能測量電壓、電流、電阻、頻率、溫度甚至是電容等參數。另一方面,工程師可以使用數字萬用表對電子電路或者電子產品在產品設計,開發及測試等階段進行驗證測試。一些數字萬用表甚至提供更多功能來滿足不同的測試要求。比如自動存儲數據功能,可進行多點測試的掃描卡功能。

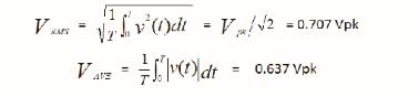
在數字萬用表內有兩種方式對交流信號進行測量,一種為平均值測量,另一種為真有效值測量。真有效值是不斷變化的信號測量和比較的最佳方法;換句話說,一個交流信號的RMS值等于在同一電阻性負載上產生同等熱量所需的直流量。下面的公式為RMS值及平均值測量的對比,測量的信號為標準正弦波的AC電壓。
因此在非真有效值測量讀值時,從0.707/0.637可以知道,有效值是平均值的1.11倍。但是這種倍數關系僅在與信號為正弦波時成立。

RMS表示有效值,它來源于用于計算任意AC波形的有效值(或發熱值)的一個數學公式。在電氣術語中,AC RMS值等同于特定波形(電壓或電流)的DC發熱值。例如,如果電爐中的電阻發熱元件在240V AC RMS下的額定發熱量為15KW,則如果是假240V DC電壓而不是AC電壓,就會得到同樣的熱量。

版權聲明:本資料屬于北京海洋興業科技股份有限公司所有,如需轉載,請注明出處!
- 上一篇:用DrDAQ記錄儀采集和記錄心電圖電路信號
- 下一篇:固緯電子任意波形信號發生器概述









QQ客服