應用文章
產品推薦
應用文章
萬用表設計原理與測量計算方法
- 發布時間:2017-07-28 09:29:43
萬用表也稱為復用表、多用表、三用表、繁用表等,是電力電子等部門不可缺少的測量儀表,一般以測量電壓、電流和電阻為主要目的。萬用表按顯示方式分為指針萬用表和數字萬用表?,F在使用最多的是數字萬用表。下面介紹數字萬用表電路設計原理和測量計算方法。
一、電路設計原理
數字萬用表的測量過程由轉換電路將被測量轉換成直流電壓信號,再由模/數(A/D)轉換器將電壓模擬量轉換成數字量,然后通過電子計數器計數,最后把測量結果用數字直接顯示在顯示屏上??梢杂脠D1.1來表示此過程。

圖1.1 萬用表測量過程
萬用表測量電壓、電流和電阻功能是通過轉換電路部分實現的,而電流、電阻的測量都是基于電壓的測量,也就是說數字萬用表是在數字直流電壓表的基礎上擴展而成的。下面介紹一下直流電壓表主要的轉換電路。
1.1 直流電壓測量原理
我們先來了解數字直流電壓表的組成結構(見圖1.2)和工作原理。

圖1.2 數字直流電壓表組成
數字直流電壓表A/D轉換器將隨時間連續變化的模擬電壓量變換成數字量,再由電子計數器對數字量進行計數得到測量結果,再由譯碼顯示電路將測量結果顯示出來。邏輯控制電路控制電路的協調工作,在時鐘的作用下按順序完成整個測量過程。根據采用的A/D轉換方式可分為積分式和非積分式,現以雙斜積分式為例介紹直流電壓表的工作原理。
直流電壓表組成結構如圖1.3,工作波形如圖1.4。

圖 1.3 雙斜積分式直流電壓表的組成

圖 1.4 雙斜積分式直流電壓表工作波形
圖1.3中Ux為被測電壓,Un為基準電壓,邏輯控制電路控制測量順序進行。雙斜積分式直流電壓表的一次測量包括以下三個階段:
(1)準備階段(t0——t1):控制電路將可控開關中的S4閉合,其余均斷開,使積分器輸出U0=0。
(2)采樣階段(t1——t2):設被測電壓Ux為負電壓。t=t1時,S4斷開S1閉合,積分器對Ux積分,U0從零開始線性上升,同時閘門被打開,計數器的計數容量為N1,當計數器的值達到N1+1時,計此時刻為t2,計數器溢出,產生一個進位脈沖給邏輯控制電路,控制開關S1斷開。t=t2時:

N1、T0、R、C為定值,U0由被測電壓Ux的大小決定。
(3)比較階段(t2——t3):在t=t2時刻,邏輯控制電路控制閘門打開,并將計數器清零后重新開始計數,與此同時,將開關S1斷開S2閉合,積分器對Un進行反向積分,積分器的輸出U0從Uom線性下降,一直到U0=0為止,此時刻記為t3。t1時刻

若取Un=N1,則Ux=N2。在t3時刻,零比較器輸入信號給邏輯控制電路,使邏輯控制電路閘門關閉,計數器停止計數,并控制寄存器將計數結果送到譯碼顯示電路,有顯示屏將測量結果直接用數字N2顯示出來。
1.2 電流——電壓轉換電路
電流——電壓轉換器的電路圖如圖1.5 所示。選定20mA檔時,圖中A、B兩點的電壓接近200mV,萬用表接入電阻為0.99+0.1=1Ω,根據歐姆定律,I=U/R。

圖1.5電流——電壓轉換電路
1.3 電阻——電壓轉換電路
電阻——電壓轉換電路如圖1.6所示。圖中I。為直流電壓表內部的測試電流,流經Rx,Rx兩端就會產生正比于被測電阻Rx的電壓降,由直流電壓表測出這個壓降就得到被測電阻Rx的值,Rx=U/I。

圖1.6 電阻——電壓轉換電路
1.4 交流——直流轉換電路
如圖1.7, 交流電壓的測量采用平均值響應,有效值顯示,如同直流電壓一樣先經過分壓器分壓,之后經半波整流后復原成直流,最后做A/D轉換。

圖1.7 交流——直流轉換電路
二、萬用表的測量計算方法
在使用萬用表測量交流電壓或電流時,您是否對測量結果有過懷疑?當您對自己的電路十分確信時,你可能對萬用表測量的準確性產生了懷疑,那么究竟是哪里出了問題呢?還是讓我們來回顧一下萬用表測量交流信號的數學計算公式吧。
1.平均值與真有效值測量的異同
首先,了解一下平均值,數學上求電壓平均值用下邊的公式來表示:

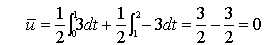
其中u(t)是信號的函數表達式,T 為信號的周期。如果我們要測量的是標準的正弦信號,那么用這種計算方法既準確又快捷。但是用來測量其他交流信號(如下式方波):

再利用式4對上式求平均值,設上述信號周期為2,則

顯然結果是不正確的。因此,得出結論用求平均值的方法來計算如方波、鋸齒波等交流信號時可能會出現很大的誤差。
那么,有沒有一種能準確測量非正弦波之類的交流信號的方法呢?因此,引入了真有效值的計算方法。真有效值就是電流或電壓在一個周期上的均方根,其數學計算公式如下:

其中Vrms表示電壓的真有效值,u(t)是信號的函數表達式,T 為信號的周期。利用上述公式,先對信號的平方求積分,再開方。這種方法正確的計算出各種交流信號的有效值。因此,用真有效值的計算方法測量交流信號是準確的。在選用萬用表時,一定要選用具有真有效值測量功能的萬用表。
2.由真有效值功能引申的AC+DC真有效值
在各種被測信號中,常常會有交流信號與直流信號的疊加信號,以往我們使用的萬用表只能分別測量直流或者交流信號,無法測量直流信號與交流信號的疊加信號。那么,如何來準確地測量交直信號的疊加信號呢?
首先,要清楚的是直流信號與交流信號的疊加信號并不等同于交流信號的真有效值與直流信號大小簡單相加。以直流信號u1(t)=1(v ),交流信號u2 (t)=sint為例,二者疊加后信號表示為:u(t)=1+2sint;
對其求真有效值結果為u(t)=1.732,而不是1+1.414=2..414。將直流信號與交流信號的疊加信號代入真有效值的計算公式得出:

其中,AC+DC表示疊加后信號的真有效值,DC表示直流信號的大小,ACrms表示交流信號的真有效值,這樣就可以準確的計算直流信號與交流信號的疊加信號了。AC+DC功能對疊峰功率的測試有很重要的意義。直流疊加的失真和諧波會引起變壓器、發電機、發動機過熱,也使斷路器回路易跳閘,熔斷保險絲等。在測量時不容忽視,因此選用具有AC+DC真有效值測量功能的萬用表是十分必要的(例如OI859CFⅡ手持萬用表)。
總之,萬用表是在直流電壓表的基礎上通過電路轉換實現對交流電壓、電流和電阻的測量的,采用真有效值計算的方法測量非正弦波交流信號更準確,這將有助于我們更好的進行研究與實驗。
版權聲明:本資料屬于北京海洋興業科技股份有限公司所有,如需轉載,請注明出處!
- 上一篇:電流分流器介紹和使用
- 下一篇:使萬用表功能大大增強的測試附件









QQ客服